PRODUCTS

Generator powered by Perkins engine

●Using Perkins engine as the genset power, power range from 10 to 2500kva,including 400/1100/1500/2000/4000 series.
●Having the feature of good performance, low fuel consumption, good reliability
●Widely used as prime or standby power in the fieldwork, building, supermarket, industrial and mining factory, oil field, harbor, and so on.

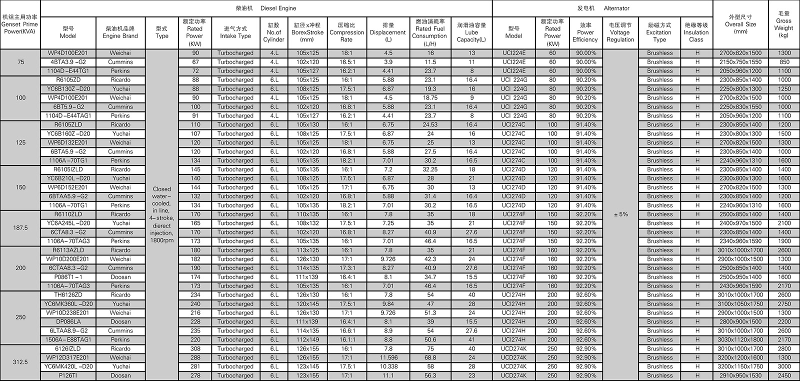
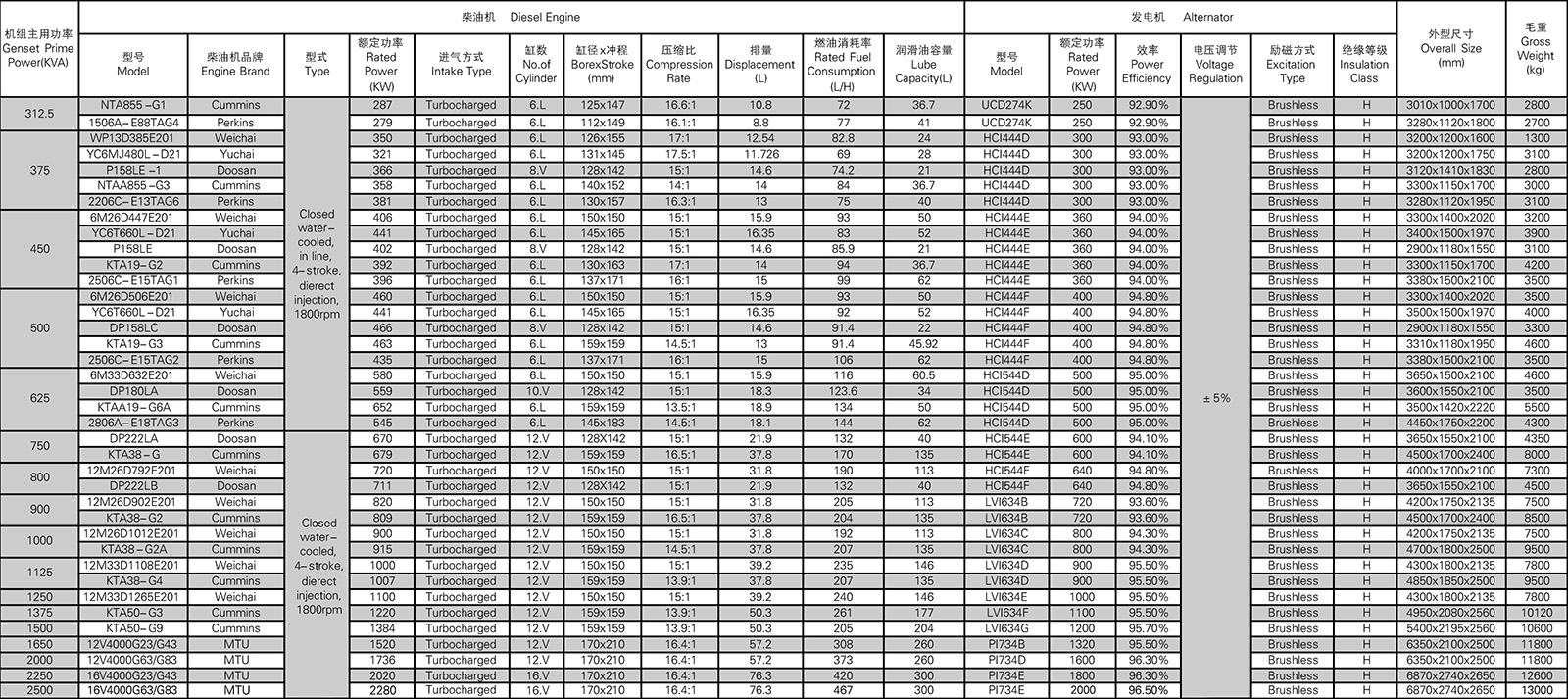
Specifications

g-spec1s.jpg

g-spec2s.jpg

PRODUCT INQUIRY

The product has been added to inquiry list.

Fulrubell Corporation
  • GLOBE: (02)7001-7308
  • PLDT: (02)8952-2344
  • EMAIL: sales.inquiry@fulrubell.com