PRODUCTS

Generator powered by Cummins engine

●Using Cummins engine as the genset power, power range from
33 to 3000kva.
●Including 4B/6B/6C/NTA/KTA series, having the feature of low fuel consumption, good performance, low speed, safety, and good reliability.
●Widely used as prime or standby power in the fieldwork, building, supermarket, industrial and mining factory, oil field, harbor, and so on.

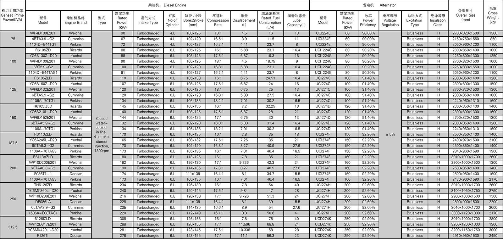
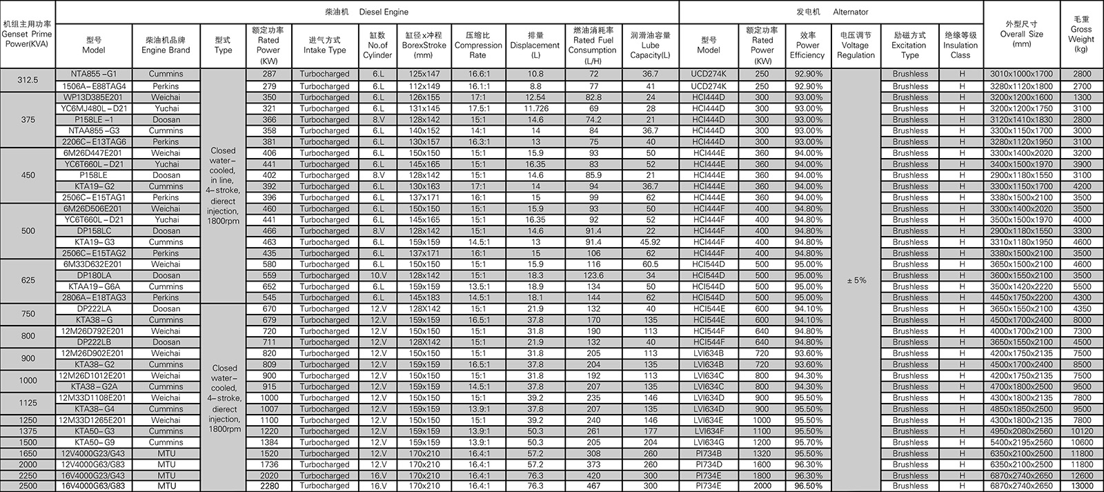
Specifications

g-spec1s.jpg

g-spec2s.jpg

PRODUCT INQUIRY

The product has been added to inquiry list.

Fulrubell Corporation
  • GLOBE: (02)7001-7308
  • PLDT: (02)8952-2344
  • EMAIL: sales.inquiry@fulrubell.com