PRODUCTS

Generator powered by Yuchai engine

●Using Yuchai engine as the genset power, power range from 30KW to 1500KW. MTU 2000KW
●Including YC4D/YC4A/YC6B/YC6A/YC6M/YC6T/YC6C/YC12VC series
●Having the feature of low fuel consumption, good performance, low speed, safety, and good reliability.
●Widely used as prime or standby power in the fieldwork, building, supermarket, industrial and mining factory, oil field, harbor, and so on.

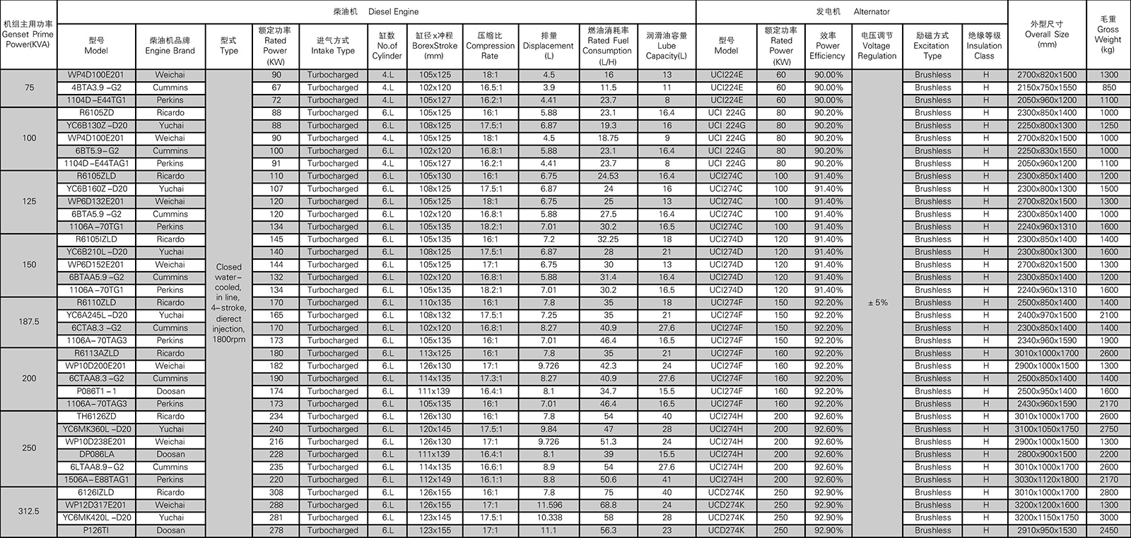
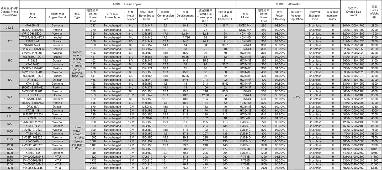
Specifications

g-spec1s.jpg

g-spec2s.jpg

PRODUCT INQUIRY

The product has been added to inquiry list.

Fulrubell Corporation
  • GLOBE: (02)7001-7308
  • PLDT: (02)8952-2344
  • EMAIL: sales.inquiry@fulrubell.com