PRODUCTS

Generator powered by Jichai engine

●It is coupled with Jichia series engine, power range is from500kw to 2000kw .
●Major model is 190 series ,it have characteristics of safe operation, low fuel consumption, easy sart-up
●Widely used in national defense, telecommunications, field construction, high-rise buildings, commercial buildings, industrial and mining enterprises, oil fields, ports, villages , lighting power and so on.

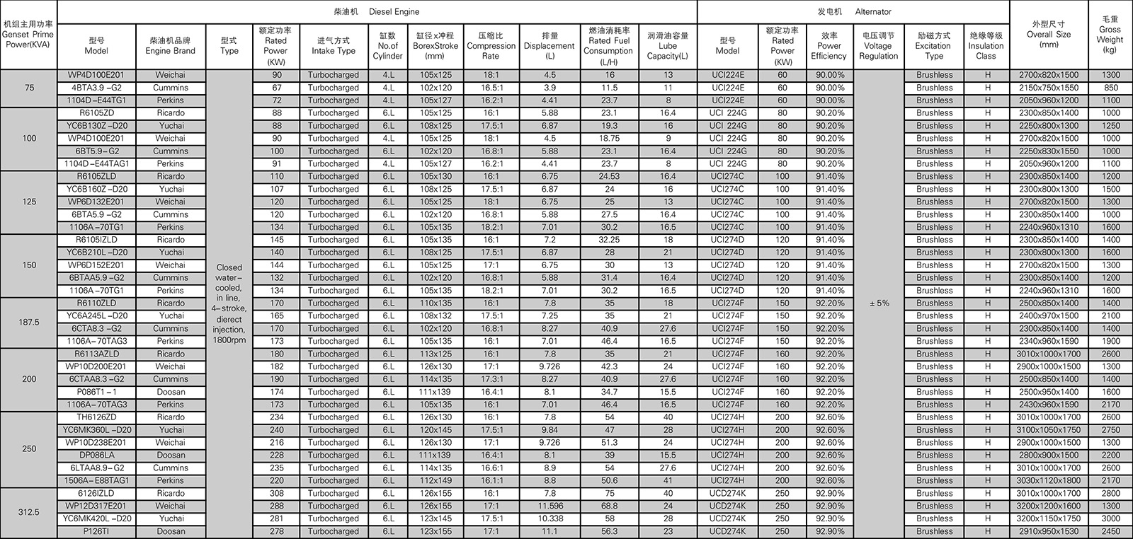
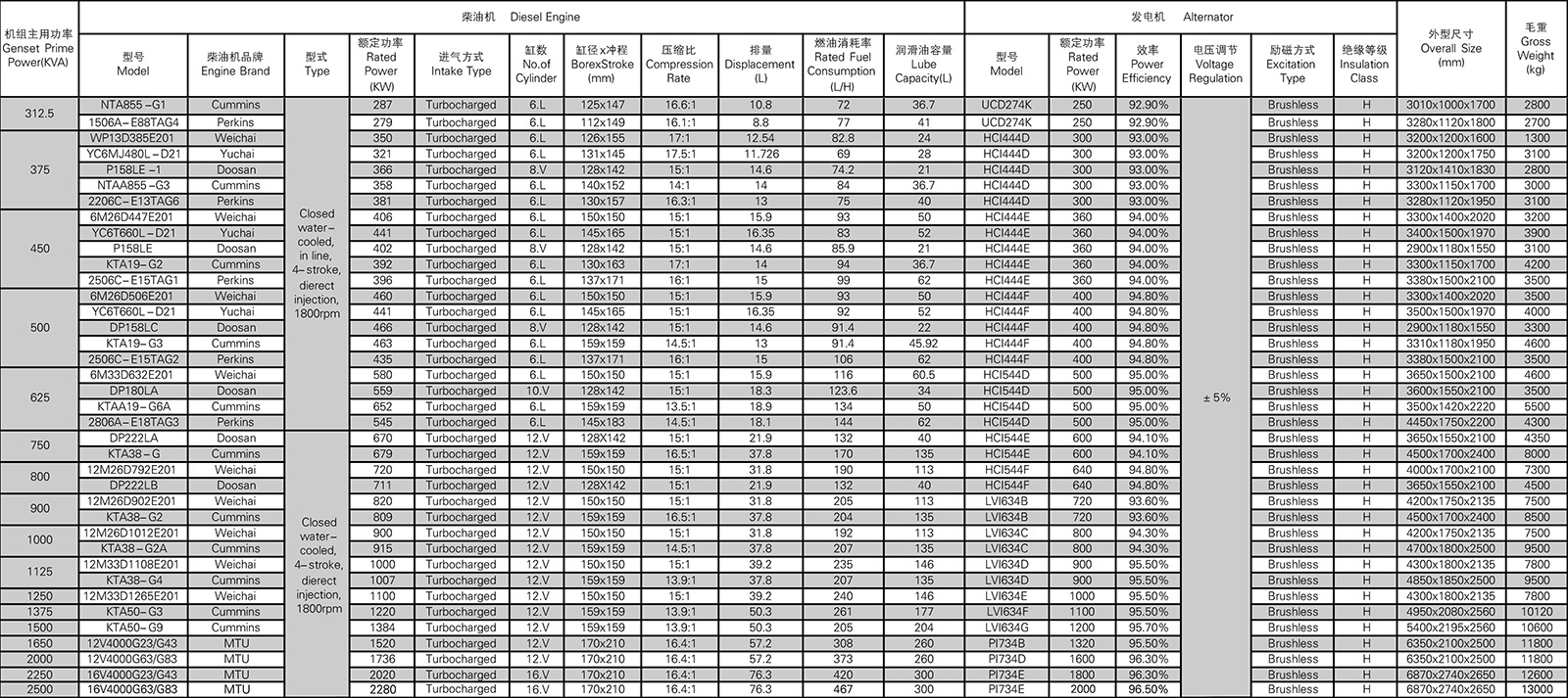
Specifications

g-spec1s.jpg

g-spec2s.jpg

PRODUCT INQUIRY

The product has been added to inquiry list.

Fulrubell Corporation
  • GLOBE: (02)7001-7308
  • PLDT: (02)8952-2344
  • EMAIL: sales.inquiry@fulrubell.com